航空发动机燃烧研究中,解析旋流火焰的流场结构及贫燃吹熄(Lean Blowout,LBO)机理,需要具备高时间分辨率的流场测量技术。某航空航天国家重点实验室科研团队利用千眼狼(Revealer)Stereo-PIV系统结合OH*化学发光测量,对中心分级旋流火焰的贫燃吹熄机理开展系统研究。通过获取三分量瞬态速度场并引入SPOD模态分解方法,揭示了接近LBO条件下回流区附近低频大尺度相干结构的形成机制及其对火焰稳定性的关键作用,为航空发动机低排放燃烧室设计提供了重要实验依据。
一、研究需求,为什么燃烧火焰研究需要高频Stereo-PIV系统?
航空发动机燃烧研究领域,研究中心分级旋流火焰时,科研人员普遍面临三个问题:
1. 旋流燃烧器内部流场结构复杂,旋流火焰涉及复杂的回流区结构和高频湍流。
2. LBO发生前,流场由小尺度湍流向大尺度相干结构转变,需要极高的事件分辨率进行时域分析。
3. 单面二维速度场无法完整描述旋流的轴向、径向及切向速度演化。
在此背景下,Stereo-PIV系统成为重要诊断手段。
二、解决方案,千眼狼(Revealer)Stereo-PIV系统技术参数
在本研究中,科研团队使用千眼狼(Revealer)Stereo-PIV系统构建了高频流场测量平台,该系统主要构成如下表:

通过向流场中加入微米级氧化铝示踪粒子,并利用激光片光形成测量平面,系统能够以 5 kHz重复频率获取燃烧器内部瞬态速度矢量场。在每个实验工况下采集约 10000组瞬态流场数据,为统计分析和模态分解提供可靠数据基础。同时,Stereo-PIV系统还集成了OH*化学发光测量,用于表征火焰热释放率分布,实现流场结构与火焰反应区域的同步观测。

图1 高频Stereo-PIV与OH*化学发光同步测量系统示意图
三、深度解析,使用Stereo-PIV系统揭示LBO机理的关键发现
1. Stereo-PIV揭示中心分级旋流火焰流场结构演化
千眼狼(Revealer)高频Stereo-PIV系统首先用于测量非反应条件下的瞬态三分量速度场,并通过时间平均得到不同速度比条件下的流场结构。实验结果表明,随着主级与引燃级速度比Rv 的变化,中心分级旋流燃烧器内部的回流区形态发生变化(图2所示)。
在较低速度比条件下,Stereo-PIV系统捕获到的轴向速度场显示,中心主回流区(PRZ)主要由引燃级旋流主导,回流区呈现较为紧凑的结构,其范围主要集中在燃烧器轴线附近。速度比逐渐增加时,Stereo-PIV测量结果显示主级旋流喷流逐渐增强,并在下游区域与引燃级喷流合并。速度比继续提高时,主级旋流成为主导动力源,回流区位置向下游移动,并形成更宽的高速射流结构。
千眼狼(Revealer)Stereo-PIV系统捕获的这一系列速度场变化表明中心分级燃烧器的流场可根据速度比分为引燃级主导、双级协同以及主级主导三种流动模式,为后续贫燃吹熄实验的参数选择提供依据,也说明旋流流场结构的变化是影响火焰稳定性的关键因素之一。

图2 Stereo-PIV测量得到的不同速度比条件下时间平均轴向速度分布
2. Stereo-PIV模态分析揭示旋流主导结构
基于千眼狼(Revealer)Stereo-PIV捕获的瞬态速度场数据,研究团队进一步利用SPOD方法进行频域模态分析,提取流场中的主导动力学结构,识别不同频率下能量占优的主导流动模态。
SPOD结果表明,在低速度比条件下,流场主导模态能量主要集中在引燃级旋流区域,呈反对称分布,表明引燃级旋流的不稳定结构主导整个流场。当速度比增加至中等水平时,主导模态能量同时出现在主级与引燃级喷流交汇区域,当速度比进一步提高时,主导模态的能量集中在下游区域,显示主级旋流占据主导地位。
Stereo-PIV结合SPOD模态分析,可定量识别旋流燃烧器内部的主导动力学结构及其能量分布位置,揭示气流分级设计如何改变流场稳定的机制。该分析基于Stereo-PIV获得的瞬态速度场序列进行频域分解,从而提取流场的主导动力学结构。

图3 基于Stereo-PIV速度场数据的SPOD第一模态空间分布(不同速度比)
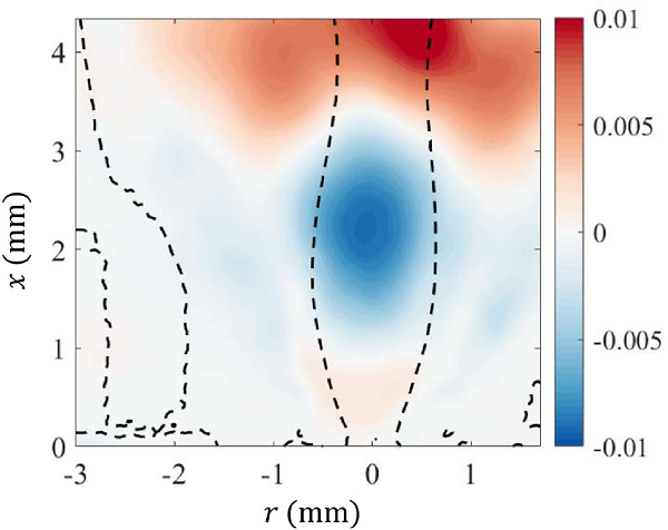
3. Stereo-PIV识别贫燃吹熄前的关键流动结构
燃烧实验中,利用千眼狼(Revealer)Stereo-PIV测量系统进一步研究火焰接近贫燃吹熄极限时的流场变化。当量比逐渐降低至接近LBO时,原本由多个频率组成的流动结构逐渐被单一低频模态所主导,该低频模态的空间分布主要集中在主回流区与火焰锚定区域。
Stereo-PIV数据表明低频大尺度结构周期性扰动回流区内部流动,从而影响高温燃烧产物向火焰根部输运。当扰动增强时,火焰根部无法持续获得足够的活性自由基,导致局部熄灭并引发整体火焰吹熄。通过分析第一模态空间分布,可以清晰定位关键扰动结构的位置及影响范围。图4展示了接近贫燃吹熄条件下的SPOD第一模态空间分布,揭示火焰锚定区域附近的大尺度不稳定结构。

图4 接近LBO条件下基于Stereo-PIV数据得到的SPOD第一模态结构
四、实验结论,Stereo-PIV系统能够为复杂燃烧流动结构分析提供关键实验数据
研究基于高频Stereo-PIV与OH*化学发光同步诊断,揭示了中心分级旋流燃烧器贫燃条件下的流场结构演化及贫燃吹熄(LBO)特性:
I. Stereo-PIV测量结果表明,随着主级与引燃级速度比的变化,燃烧器内部流场呈现出由引燃级主导,主、引燃级耦合流动到主级主导的三种典型结构转变,改变了主回流区位置及剪切层结构,从而直接影响火焰锚定位置和整体燃烧稳定性。
II.接近贫燃吹熄极限时,流场动力学特征发生明显变化。SPOD模态分析显示,高频湍流逐渐衰减,而低频大尺度结构逐渐增强并集中于回流区及火焰锚定区域,表明流场由小尺度湍流主导逐渐转变为大尺度相干结构主导。这些结构会周期性扰动高温产物向火焰根部的输运,削弱热反馈与自由基供给,最终触发局部熄灭并导致整体LBO。
III. Stereo-PIV测量系统在研究中展现出重要技术价值,实现了高时间分辨率流场测量与动力学结构识别。通过5 kHz高频立体PIV获取三分量瞬态速度场,并结合模态分解分析,实现了复杂旋流结构识别与关键不稳定结构定位,为揭示燃烧稳定机理和建立LBO预测模型提供了关键实验数据支撑。
五、附 千眼狼(Revealer)Stereo-PIV系统差异化特征
对于从事航空航天、能源动力及燃烧力学研究的实验室,千眼狼(Revealer)Stereo-PIV系统拥有以下差异化技术价值:
1. 高采样频率:具备5 kHz、10 kHz、15 kHz、25 kHz的满画幅测量频率,确保对复杂瞬态相干结构演化捕获提取的准确性。
2. 高精度标定:采用基于视差矢量场修正映射函数原理的面自标定技术,确保立体测量的几何精度。
3. 多物理场联动:系统支持与化学发光(OH*/CH*)、PLIF等光学诊断手段深度同步,实现“流场+化学反应区”的多场耦合测量。
